![]()
![]()
S.Singer
A plot of the two-neutron separation
energies as a function of the proton and neutron numbers of the nucleus.
The island of bound nuclei lies in an ocean of unbound combinations of
neutron and proton numbers. In this plot showing the predicted drip-lines,
the green area along the ridge shows nuclei for which the mass at least
has been measured. The `snow' represent stable nuclei and the slopes are
essentially unexplored. (from SIRIUS Science, CLRC ISBN 0-90376-75-6)
Various models have been developed to reproduce measured
masses and to predict unknown masses far from the valley of stability:
collective semi-empirical microscopic-macroscopic models, phenomenological
microscopic models such as shell-model calculations, Hartree-Fock mean-field
calculations, relativistic mean-field calculations, etc. The predictive
power of these models developed from existing data on stable nuclei but
rarely tested over large isospin variations, can be greatly improved by
extending mass measurements to the most exotic nuclei as well as by improving
the precision of known masses. Predictions of mass models for exotic nuclei
located at the drip-lines, i.e. the limits of stability against the emission
of a proton or neutron, diverge from each other by several MeV or even
tens of MeV, as is illustrated for tin isotopes below. Much more reliable
mass predictions and, consequently, more experimental data are crucial
if we are to deeper understand the structure of nuclei.

Comparison between experimental and predicted atomic mass-excesses for tin isotopes. Most mass models reproduce relatively well the existing experimental data but diverge dramatically, and thus have a poor predictive power, when no experimental data is available, farther away from stability. (from SIRIUS Science, CLRC ISBN 0-90376-75-6)
Masses also play an important role in other fields of physics, such as atomic physics or nuclear astrophysics. In the latter, masses allow for instance to account for the abundances of nuclides or to determine the path of nucleosynthesis processes, such as the rapid neutron-capture (r-) process on the neutron-rich side of the nuclear chart, or the rapid proton-capture (rp-) process on the neutron-deficient side, which proceeds along the N = Z line, therefore close to stability for light nuclei but close to the proton drip-line for heavier nuclei.

The chart of the nuclides showing
the stable nuclei (black squares), the observed unstable nuclei (yellow
area) and the proton and neutron drip-lines (red and blue lines). The paths
of the nucleosynthesis rp- and r- processes are also indicated. The insets
represent Hubble Space Telescope images of the nova Cygni 1992, a possible
site for the rp-process, and afterglow from SN1987A, an r-process site.
(from
SIRIUS Science, CLRC ISBN 0-90376-75-6)
Most direct mass-measurement techniques are based on the measurement of quantities proportional to the mass/charge (m/q) ratio of ions, either their time-of-flight through a magnetic spectrometer (SPEG at GANIL, TOFI at LANL) or their cyclotron frequency in a Penning trap (ISOLTRAP at ISOLDE), in a storage ring (ESR at GSI) or in an RF spectrometer (MISTRAL at ISOLDE). In the case of heavy ions (Z > 30), the mass resolution obtained with the very sensitive `standard' time-of-flight technique is not sufficient: 3x10-4 with SPEG for a time-of-flight of the order of 1 microsecond over a linear flight-path of about 100 meters. In the case of techniques based on the measurement of the cyclotron frequency of cooled trapped ions, the resolution is much better but the sensitivity is reduced mainly because of time limitations, although recent developments with MISTRAL and ISOLTRAP have allowed measurements for nuclei with half-lives of about 30 milliseconds, 50 milliseconds and 170 milliseconds, respectively.
In order to keep a high sensitivity while achieving a higher resolution to measure the masses of very exotic nuclides, an original time-of-flight method was developed at GANIL, which is well-suited to the configuration of its coupled cyclotrons, and based on the use of the second separated-sector cyclotron, CSS2, as a high-resolution spectrometer.
With this method the exotic nuclei are produced by fusion-evaporation
from a heavy-ion primary beam delivered by the first GANIL
cyclotron, CSS1, impinging on a target located between the two cyclotrons.
They are then injected into CSS2, accelerated and intercepted in a silicon-detector
telescope (
E 30 microns - E 300
mm) mounted on one of the probes movable radially along the axis of a magnetic
sector of the cyclotron. This method requires very low-intensity beam-tuning
techniques.

The GANIL separated-sector coupled
cyclotrons. To perform a mass measurement with CSS2, a heavy-ion primary
beam delivered by CSS1 with a few MeV/nucleon bombards a target located
between the two cyclotrons. The fusion-evaporation products are then injected
into CSS2, accelerated and finally detected in a silicon-detector telescope
mounted on a radially-movable probe inside the cyclotron.
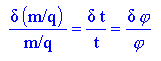
The CSS2 method consists of simultaneously accelerating
several beams of exotic ions with similar m/q ratios and measuring, at
the end of the acceleration process inside the cyclotron, their time-of-flight
difference,
t,
which corresponds to their phase difference with respect to the radio-frequency,
.
When considering two ions of slightly different masses, the heavier spirals
longer inside the cyclotron and so the relative time-of-flight or phase
difference is proportional to their relative m/q difference:

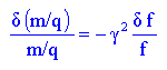
If two ion species are simultaneously accelerated, the unknown mass is determined with respect to the other one taken as a reference, knowing the number of turns inside the cyclotron or the total time-of-flight, or from several reference masses. The mass resolution, 3x10-5, is better than the one obtained when using a standard magnetic spectrometer because the time-of-flight of the ions is much longer: around 50-100 microseconds over a spiral flight-path of the order of a kilometer. Masses of nuclei with half-lives of a few tens of microseconds can therefore be measured.
Moreover the CSS2 cyclotron has a relatively large acceptance, which is also an advantage compared to other devices. Unknown-mass and reference-mass ions with relative m/q differences within 3 - 4x10-4 can be simultaneously injected and accelerated in the cyclotron. The phase varies continuously in function of the detection radius for ions with a different m/q ratio than the nominal-tuning ions (constant phase). When the phase variation becomes too large, for relative m/q differences larger than 4x10-4, the ions are no longer accelerated. The phase (and thus mass) resolution is function of the number of turns made by the ions in the cyclotron before detection, which depends on the detection radius and the accelerating voltage.

Simulation of the phase variation
in function of the detection radius for ions with relative m/q differences
with respect to nominal-tuning ions (dm/m = 0, constant phase) ranging
between 2x10-4 and 8x10-4. When the phase variation
reaches 90°,
corresponding to relative m/q differences larger than 4x10-4,
the ions are no longer accelerated.
The first experiment performed with this method led to the production and identification of the doubly-magic nucleus 100Sn with the 50Cr + 58Ni fusion-evaporation reaction at 255 MeV. The understanding of this nucleus is one of the cornerstones on which nuclear structure models depend. The new CSS2 direct technique has allowed the mass of 100Cd to be remeasured and those of 100In and 100Sn to be measured for the first time, simultaneously, with respect to the reference mass of 100Ag, with total precisions of 200 keV (2x10-6), 300 keV (3x10-6) and 900 keV (10-5), respectively. The lower precision obtained for the doubly-magic N = Z = 50 nucleus, 100Sn, arises from the low statistics (the production cross-section has been estimated to 40 nbarns). The systematic error was determined to be about 200 keV.
This pioneering experiment only succeeded after considerable experimental effort and required several tests of the method with lighter secondary beams. These tests helped to solve many difficulties, to validate the method and to optimise the experimental procedure. For instance, they demonstrated that, in the case of ions with too large relative m/q differences, which cannot be accelerated simultaneously in the cyclotron, it is not possible to achieve good precision by changing the magnetic field of the cyclotron in proportion to the relative m/q difference of the ions.
The figure below shows a comparison between the binding energies of the Audi-Wapstra mass table and the shell-model calculations of Johnstone et al for N = 50, 51 and 52 isotones from 90Zr to 102Sn. The mass table and the calculation are in good agreement when the table values are experimental (known masses). For the more exotic nuclei (beyond 98Ag and 100Cd, towards the proton drip-line), table values are extrapolated from systematic trends and no longer agree with the calculation: the shell-model calculation predicts larger binding energies. The CSS2 experimental values for the A = 100 isobars are also compared to the Audi-Wapstra mass table on the same figure. This allows first of all to check that the new measurement for 100Cd agrees with the existing experimental value of the table and secondly it shows that the new experimental data for 100In and 100Sn are in good agreement with the shell-model calculation.

Comparison between the binding energies
of the Audi-Wapstra mass table (B.E.table) and i) the
shell-model calculations of Johnstone et al for N = 50, 51 and 52
isotones from 90Zr to 102Sn (circles, squares and
triangles, respectively) and ii) the CSS2 experimental values for 100Cd,
100In
and 100Sn (stars).
In a more recent experiment the masses of 80Zr, 76Sr and 68Se were measured for the first time, and the mass of 80Y remeasured, with respect to four reference masses with a precision of the order of 10-6. The neutron-deficient nuclei of this N = Z = 40 region are of particular interest for the modelling of the rp-process in nuclear astrophysics.
Both these experiments aimed at measuring the masses of N = Z nuclei which are of great importance to nuclear structure but are very difficult to produce and thus to study in detail. The N = Z region is the ideal place to study neutron-proton pairing and is currently an extremely active theoretical research area. N = Z nuclei are more bound than their neighbours, an empirical fact known as the Wigner term in mass formulae, which is, however, still not reproduced by microscopic calculations. The study of the residual interaction between the last proton and the last neutron, which plays a very important role in the structure of nuclei, is directly accessible from masses through double binding-energy differences.
In the case of even-even nuclei the following quantity has been proposed to extract the empirical neutron-proton strength:

where B(N,Z) is the (positive) binding energy of an even-even nucleus with N neutrons and Z protons. This empirical n-p strength is observed to be singularly peaked along the N = Z line.

The empirical n-p strength accessible from masses through double binding-energy differences (see text) is observed, here in the case of even-even nuclei, to be peaked along the N = Z line (open circles). The amplitude of the increase of the n-p strength along the N = Z line could provide a sensitive test of the quality of the Wigner SU(4) spin-isospin symmetry. Masses of heavy nuclei with N = Z above Z = 30 are unknown.
A recent interpretation states that it could be a consequence of the Wigner SU(4) spin-isospin symmetry, namely that the nuclear forces are invariant with respect to changes of spin and isospin. The amplitude of the increase of the n-p strength along the N = Z line could then provide a sensitive test of the quality of this fundamental symmetry. Available experimental double binding-energy differences are qualitatively consistent with the simple predictions of the SU(4) symmetry but a deviation is quantitatively observed. Indeed the breaking of the SU(4) symmetry is more pronounced as the mass number increases along the N = Z line due to two main effects: Coulomb and spin-orbit interactions. The spike in the n-p strength should then gradually disappear for heavier nuclei unless a pseudo-symmetry is restored towards the end of the sd shell as foreseen theoretically.
The last relatively well-known N = Z nucleus is 60Zn and according to the latest mass table, masses of N = Z nuclei are unknown or scarcely and poorly known above 62Ga. New precise measurements around the N = Z region with Z > 30 would allow the study of the A dependence of the n-p strength and provide a simple and clear signature of the SU(4) symmetry. Recent experimental results obtained with CSS2 have started to extend the systematics to N = Z = 40. A mass-measurement experiment has been approved to be performed with CSS2 around 84Mo.

Additionally, odd-odd N = Z nuclei are good candidates to extend the test of the conserved vector current (CVC) hypothesis of the standard model of the electro-weak interaction. These nuclei have 0+ ground states and decay by super-allowed Fermi transitions. The log ft value of these 0+ to 0+ transitions are used to determine the dominant matrix element of the Cabbibo-Kobayashi-Maskawa matrix which links the quark eigenstates to their mass eigenstates. To obtain the log ft values, high-precision beta-decay half-lives and Q-values are needed. As these transitions are ground-state to ground-state transitions, the Q-values can be determined by measuring the masses of parent and daughter nuclei.
Another partially resolved problem which can be studied
with mass measurements near the proton drip-line with Z = 20 - 35
is the Nolen-Schiffer anomaly. For a pair of mirror nuclei, the difference
in energies of states of the same isospin is of pure Coulomb origin. The
Nolen-Schiffer anomaly results in Coulomb energy differences of mirror
nuclei or Coulomb displacement energies of isobaric analog states
up to 10 % larger than those calculated. It could be due to A-dependent
quark effects in nuclei. The anomaly seems to be reduced when taking into
account meson-exchange contributions of charge symmetry breaking nuclear
forces.

The SPIRAL radioactive-beam ISOL-facility at GANIL. A high-energy high-intensity heavy-ion beam delivered by the CSS2 cyclotron bombards a thick carbon target, the radioactive species produced diffuse out of the target and are ionised in an ECR source before being post-accelerated by the CIME cyclotron.
My collaborators and I are developing a new method for the measurement of the masses of very exotic nuclei with a precision better than 10-6, using this cyclotron. Although the principle of this new technique is based on the CSS2 method, the CIME method will present several advantages compared to the use of the CSS2 cyclotron. Measurements can be foreseen with the CIME cyclotron, which are complementary to the mass-measurement programmes at ISOLTRAP, MISTRAL or ESR. The aim is to perform high-precision mass measurements of some of the most exotic nuclei that are key to our understanding of nuclear structure and yet not reachable with these devices.
As mentioned earlier, one limitation of the CSS2 method is that when the relative m/q difference between the different ion species becomes larger than the cyclotron acceptance they cannot be simultaneously accelerated. An alternative, which is more reliable than the magnetic-field changes, consists of varying the radio-frequency of the cyclotron proportionally to the relative m/q difference of the ions:

The time-of-flight or phase calibration with respect to the radio-frequency can be obtained by measuring the phase variations of given ions with known reference masses when applying successive small changes in the radio-frequency. This method could not be successfully used with the CSS2 cyclotron due to the fact that the radio-frequencies of the GANIL CSS cyclotrons are coupled. On the other hand, in the case of the CIME cyclotron, it will be possible to change the radio-frequency. A radio-frequency sweep, covering the range containing the ions of unknown mass as well as the reference masses, will allow the measurement of the phase of the ions of interest in a systematic way. These measurements will be repeated several times, in order to check the reproducibility and the final result will be the mean value of a large number of measurements. The automatic radio-frequency sweep will be made in small steps (typically of 10-5) with quite high speed (typically of the order of a few minutes over a range of 10-3) in order to avoid instabilities in other parameters of the machine, such as the magnetic field, to occur during a measurement.
Another major problem of the experiments using the CSS2
cyclotron is the identification of the ions. In the case of the A = 100
isobars with Z = 50, the ions were detected in a silicon-detector telescope
located inside the cyclotron with a low energy of about 4 MeV/nucleon at
the end of the acceleration. The Z-resolution was quite poor and the identification
spectra were not trivial to interpret due to the radial cut of the detector
in the orbits. With CIME
the extraction energy is higher - up to 25 MeV/nucleon - and there is the
possibility of extracting the beams for identification. This will allow
an unambiguous identification of the ions. Additionally, if the beams are
tuned to the SPEG
spectrometer, measurements of their magnetic rigidities, and consequently
their exact extraction radii, will be possible. This should allow to establish
a correlation between the phase and the magnetic rigidity of the ions and
the mass resolution should hence be improved.

The CIME cyclotron (Cyclotron pour
Ions de Moyenne Energie) is a room temperature, compact, medium energy
cyclotron devoted to the acceleration of radioactive ions for the SPIRAL
facility. It is equipped with Nuclear Physics type diagnostics: a
plastic scintillator, followed by a photomultiplier tube, mounted on the
main radial probe and a silicon detector, installed on another radial probe
at 45° from the main one. These detectors are sensitive to very low
intensities (down to a few pps) and give a precise measurement of the phase
of the ion beams.
An experiment was recently performed at ISOLDE to measure the superallowed decay of 32Ar in order to search for scalar currents in weak interaction. The main limitation arises from the uncertainty in the mass of 32Ar. The IMME mass prediction value was thus preferred but a recent ISOLTRAP mass measurement of 33Ar shows deviations from the usual IMME parametrisation. Therefore a direct determination of the mass of 32Ar is required. The final counting rate for 32Ar at SPIRAL has been estimated to be about 700 ions per second, making an expected uncertainty of less than 5 keV attainable.
An indirect determination of the mass of 31Ar was made by measuring the decay-energy of the isobaric analogue state in31Cl to the ground-state of 29P. By means of the Coulomb displacement-energy systematics the ground-state mass-excess was deduced. A direct determination of its mass would hence provide a useful check of mass-models and Coulomb displacement-energy systematics. Moreover 31Ar is the mirror nucleus of 31Al, which is located at the limit of the island of deformation of Warburton et al in a region of spherical-to-deformed transition. This new measurement will allow a test of the mirror symmetry to be made. Indeed in neutron-deficient nuclei, with larger Coulomb energy, deformation phenomena are more likely to appear (larger beta-2 values decrease the Coulomb energy) and thus a symmetry violation is possible. A violation of the charge symmetry would be visible as an anomaly in the Coulomb-energy differences calculated from the masses of these mirror nuclei. Also the mass of 31Ar would allow a stringent test of IMME to be made since it belongs to a sextuplet of isobaric nuclei, which would be the largest TZ value available. The final counting rate for 31Ar at SPIRAL has been estimated to be about 0.75 ions per second, easily sufficient for this experiment to reach an expected uncertainty of 20 - 25 keV.
